分布函数只不过是用来描述一个特定粒子占据一个特定能级的概率密度函数。当我们谈到费米狄拉克分布函数我们特别感兴趣的是,我们是否有机会在一个原子的特定能量状态下找到费米子(更多的信息可以在文章中找到)原子能量状态”)。这里的费米子,我们指的是电子原子这是½旋转的颗粒,与Pauli排除原理结合。
费米狄拉克分布函数的必要性
在像电子学这样的领域里,一个特yabo和365哪个平台更大别重要的因素是材料的导电性。材料的这种特性是由于在材料内部自由导电的电子的数量所引起的。
根据能带理论(参见文章“晶体能带这是构成所考虑材料的导带的电子数。因此,为了了解导电机理,有必要知道导带载流子的浓度。
费米DIRAC分布表达
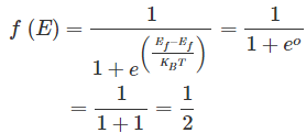
从数学上讲,在温度为T时,能态为E的电子存在的概率表示为
在那里,
玻尔兹曼常数是多少
T是绝对温度
Ef是费米能级还是费米能量
现在,让我们试着理解费米能级的意义。为了做到这一点,放
在等式(1)中。通过这样做,我们得到了,
这意味着费米能级是电子在50%的时间内存在的能级。
半导体中的费米能级
本征半导体是纯半导体里面没有杂质。因此,它们发现空穴的机会与发现电子空穴的机会相同。这意味着它们的费米能级恰好位于传导带和价带之间,如图1a所示。
接下来,考虑an的情况n型半导体。与空穴相比,这里会有更多的电子存在。这意味着在导带附近找到电子的机会比在价带找到空穴的机会大。因此,如图1b所示,这些材料的费米能级靠近导通带。
基于同样的理由,我们可以预计到费米能级p型半导体在价带附近出现(图1c)。这是因为,这些材料缺乏电子,也就是说,它们有更多的空穴,这使得在价带找到空穴的概率比在导带找到电子的概率要高。
温度对费米-狄拉克分布函数的影响
当T = 0 K时,电子的能量较低,因此占据较低的能态。这些被占据态中的最高能级称为费米能级。这就意味着,在费米能级以上的能量态不会被电子占据。因此,我们有一个定义费米狄拉克分布函数如图2中的黑色曲线所示。
然而,随着温度的升高,电子获得越来越多的能量,因此它们甚至可以上升到导带。因此,在较高的温度下,人们无法清楚地区分如图2所示的蓝色和红色曲线所示的已占据和未占据状态。





