让我们联系收费电容器电容C Farad系列串联电阻器的抵抗性欧姆。然后,我们通过在显示的按钮开关上短路短路该系列组合。
一旦电容器短路,就会开始放电。
放电装置,电容器放弃存储的电荷。
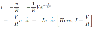
让我们假设,电压在充满电源条件下的电容器是V伏。一旦电容器循环短路,电路的放电电流将是, - v / r安培。但是在切换时的瞬间是在t =+0.当前的通过电路是
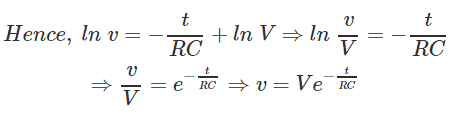
按照Kirchhoff的“电压法”我们得到,
我们得到,
其中,a是集成的常数,并且在t = 0,v = v,
之后,计算a的价值,我们得到,
我们知道形式,电路的KVL,
如果我们在图中绘制这些放电电流和电压,我们得到了,
因此,从其初始值和电容器电压指数地达到零到零,从放电期间从其初始值逐渐达到零。











