Wiedemann-Franz法律法律是关系到热导率(κ)和导电性(σ)由一些自由运动的电子组成的材料。
- 导热系数(κ):它是一种材料导热能力的程度(度量)。
- 电导率(σ):它是一种材料导电能力的程度(度量)。
在金属;当温度升高时,自由电子的速度增加,这导致了热量传递的增加,同时也增加了晶格离子和自由电子之间的碰撞。这就导致了电导率的下降。
该定律定义了一种材料(金属)的导热系数与材料(金属)的导电性的电子作用的比值与温度直接相关。
这条法则是以古斯塔夫•魏德曼和鲁道夫·弗朗茨1853年报道的比率
与不同金属在相同温度下的值或多或少相似。
定律的推导
为此,我们必须假设材料是均匀各向同性的。然后,这种材料承受一个温度梯度
。热流的方向将与温度梯度的方向相反,整个传导介质。
单位时间单位面积流过物料的热量称为热流密度。它与温度梯度成正比。
K→导热系数(W/mK)
K = K声子+ K电子;因为固体中由于声子和电子的热传递。
现在,我们可以推导出热导系数的表达式。
为此,我们必须假设热在温度梯度为的金属板中由高到低的流动
。
cv→比热
n→单位体积内的粒子数
λ→碰撞平均自由程
v→电子的速度
比较式(1)和式(2),得到
我们知道自由电子的能量是
将(4)式代入(3)
现在,理想气体在恒定体积下的比热,
将式(8)代入式(6)得到
接下来,我们可以考虑金属的电流密度与应用电场, E(图1)
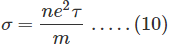
J =σE;欧姆定律
正确的形式欧姆定律是由
碰撞之间有平均自由路径和平均时间。
e→电子电荷= 1.602×109C
τ→碰撞时间或平均时间:是电子散射前移动或旅行的平均时间。
vd→漂移速度:它是电子在碰撞时间内的标准速度。
将式(11)代入式(10)得到电导率(德鲁德电导率)为
考虑一下在没有电场作用的情况下在金属中运动的电子。然后给出了均分定理
由式(13)得到m as
将式(14)代入式(12)
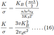
因此,由式(6)和式(15)得到K和σ的值。
现在,我们可以求比值
我们假设v = vd,则式(16)变为
根据这个,我们可以说这个比值
所有的金属都是一样的。它也是温度的函数。这条法律被称为Wiedemann-Franz洛伦兹定律。我们可以得出最优秀的结论电导体将是最好的导热体。
维德曼弗朗茨定律的局限性
- 所有材料的L值都不一样。
- 这个定律对中间温度不成立。
- 在纯金属中,σ和κ都随着温度的降低而增加。





