当我们在附近的两个电带电的身体时,他们将在他们中遇到一个力量。根据两个身体的电荷的性质,这种力可以是有吸引力的或令人厌恶的。两个像带电的身体相互排斥,两个与指控机身相互吸引。作用在这两个附近的两具体身体上的力量可以由其制定库仑的法律。
作用于附近带电物体之间的力主要取决于三个因素。
- 尸体的电荷Q1问:2库仑是物体电荷的乘积。
- 电荷中心之间的距离即,D米。力与距离D的平方成反比。
- 放置尸体的媒介。
角色介电常数这是第三点。发现在不同介质中,作用于距离相同的相邻带电体之间的力是不同的。由方程库仑的法律,我们发现,在附近的电荷机构之间的力量与术语ε成反比oεr。这个术语被称为介电常数媒介。这里,εo被称为绝对介入性真空和εr是个相对介电常数是放置尸体的媒介。
相对介电常数或介电常数
相对介电常数定义为培养基的实际或绝对介电常数与真空绝对介电常数的比率。如果介质的介电常数是ε然后
空气的比率为1.0006。这意味着空气的相对介电常数为1.0006。
作用于附近带电物体之间的静电力与介质的介电常数成反比。因此,任何介质的相对介电常数都被定义为作用于真空中附近带电物体之间的力与作用于介质中相距相同距离的相同物体之间的力的比值。
我们知道电场强度任意点的定义为,
从这个关系,我们可以建立电通量密度(D)在这一点上,
从表达电场强度和通量密度我们可以写,
很明显,这个比例电通量密度到电场强度在该字段中的一个点,可以定义为该点处的介质的介电常数。
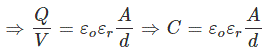
让我们休息一下平行板电容器当平板的有效面积为A,平板之间的距离为d时,平板之间的介电常数为ε。电荷在电容器是Q由于施加的电压电容器是V。
电场强度为
磁通密度是
磁通密度与电场强度的关系为
在这里,在电容的表达,人们发现电容器电容与板间介质的介电常数成正比。
再一次,表达存储在电容器中的能量是
从那个表达式中,可以得出结论存储在电容器中的能量与平板之间介质的介电常数成正比。
所以电容和存储在电容器中的能量两者都与介电介质的介电常数成正比。
因此,在设计电容器时,电容器所用介质的介电常数是决定电容器尺寸的一个重要参数。
绝对介电常数
让我们定义绝对介绍性。介质的绝对介电常数或简单介电常数可以被定义为确定该字段中某个点处的某些电场强度的介质的特性,该点在该点处产生多大的磁通密度。我们将在本文后面展示。任何介质的绝对介电常数可以由两种术语的产物表示,其是真空的绝对介电常数和培养基的相对介电常数。这是为了简化基于介质的计算。真空的绝对介电常数被视为介质常数的基础值。培养基的相对介电常数是介质的介电常数大于真空的绝对介电常数。
介电常数单位
绝对介电常数单位
从库仑法的等式来看,我们可以写出介绍的表达,
由上面所示的介电常数表达式,我们可以确定介电常数的单位为
绝对介电常数的另一个单位
电容器的介电介质的电容与介电常数的关系可以表示为
从这个表达式中,介电常数的单位为
相对介电常数
随着相对介电常数是培养基的绝对介电常数与真空的绝对介电常数的比例,这是单位较少的量。
自由空间的介电常数
自由空间的介电常数也称为真空介电常数。自由空间的介电常数值为





