我们知道在正负电荷周围总是有一个静电场在这个静电场中有一个能量管流动通量。其实这通量是由电荷辐射/发出的。这个通量的大小取决于它产生的电荷的大小。为了找出这个关系高斯定理介绍了。该定理可以被认为是电学领域中最强大和最有用的定理之一。我们可以从这个定理找出通过电荷周围的表面积辐射的通量。
这个定理表明电通量通过任何一个电荷周围的封闭表面,等于这个表面所包含的净正电荷。
假设电荷是Q1,问2_ _ _ _ q我, _ _ qn被曲面包围,那么该定理在数学上可以用曲面积分表示为
D是什么通量密度在库仑/ m2dS是向外的向量。
高斯定理的解释
给我们解释了高斯定理,最好是通过一个例子来正确理解。
设Q是球中心的电荷,而通量由电荷发出的射线垂直于表面。这个定理表明通量就等于Q库仑,这在数学上也可以证明。但是如果电荷不是放在中心而是放在中心以外的任何一点呢(如图所示)。
此时,磁通线不垂直于电荷周围的表面,将磁通线分解为两个相互垂直的分量,水平分量为sinθ分量,垂直分量为cosθ分量。现在,当这些分量的和是所有的电荷,那么净结果等于系统的总电荷,这证明了高斯定理。
高斯定理的证明
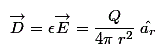
让我们考虑位于介电常数ε的均匀各向同性介质中的点电荷Q。
的电场强度在距离电荷r处的任何一点
的通量密度给药,
现在从这个数字通量通过区域dS
其中θ为D与dS的法线之间的夹角。
dScosθ是dS的投影垂直于半径向量。根据立体角的定义
式中,dΩ为Q处与基本曲面对应的立体角dS。所以总的位移通量整个表面积是
现在,我们知道任何封闭曲面所对的立体角是4π立体弧度,所以通过整个曲面的总电通量是
这是积分形式高斯定理。因此这个定理得到了证明。













